a) Oxidation-Reduction
b) Chemiosmosis
c) Substrate-Level Phosphorylation
d) Dehydration
Get 1-on-1 MCAT Tutoring From a Specialist
With MCAT tutoring from MedSchoolCoach, we are committed to help you prepare, excel, and optimize your ideal score on the MCAT exam.
For each student we work with, we learn about their learning style, content knowledge, and goals. We match them with the most suitable tutor and conduct online sessions that make them feel as if they are in the classroom. Each session is recorded, plus with access to whiteboard notes. We focus on high-yield topics if you’re pressed for time. If you have more time or high-score goals, we meticulously cover the entire MCAT syllabus.
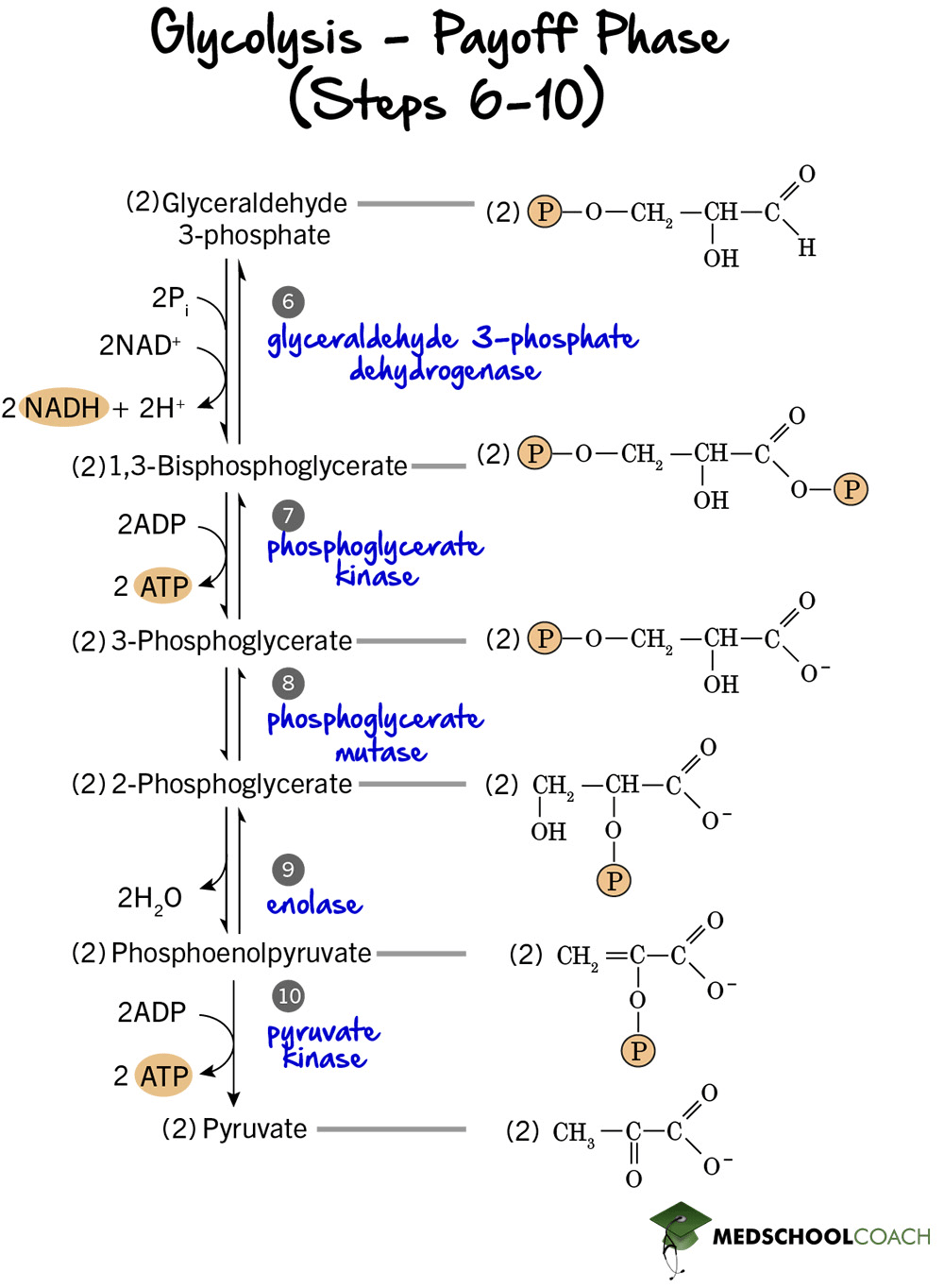
Payoff Phase of Glycolysis
Recall that the first five steps of glycolysis are known as the preparatory phase of glycolysis. During this phase, two molecules of ATP are consumed to aid the break down of glucose into two molecules of glyceraldehyde-3-phosphate. The next, and final, five steps of the glycolytic pathway are known as the payoff phase (Figure 1). In this phase, two molecules of glyceraldehyde-3-phosphate are processed to form two molecules of pyruvate. Additionally, four molecules of ATP and two molecules of NADH are also formed. Therefore, the net result of glycolysis is the conversion of one glucose molecule into two molecules of pyruvate, two molecules of ATP, and two molecules of NADH.
This MCAT post covers each of the five steps of the payoff phase of glycolysis.

Figure 1. Payoff Phase of Glycolysis
Step 6: Oxidation of Glyceraldehyde 3-Phosphate
The first step of the payoff phase, or the sixth step of glycolysis, is the oxidation of glyceraldehyde-3-phosphate (G3P) (Figure 2). In this step, G3P is oxidized and an inorganic phosphate molecule is added, forming 1,3-bisphosphoglycerate (1,3-BPG). It is important to note that oxidation and reduction reactions always occur together. This is termed a reduction/oxidation, or redox, reaction. For this specific step, the oxidation of G3P is coupled with the reduction of NAD+ to NADH. In other words, electron transfer occurs from glyceraldehyde-3-phosphate to NAD+. Furthermore, it is always important to note the enzyme catalyzing a given reaction. The sixth step of glycolysis is catalyzed by glyceraldehyde-3-phosphate dehydrogenase. Note that dehydrogenase enzymes catalyze the removal of hydrogens, therefore, catalyzing oxidation reactions.

Figure 2. Glycolysis Step 6: Oxidation of Glyceraldehyde 3-Phosphate
Step 7: Transfer of Phosphate Group from 1,3-Bisphosphoglycerate
The next step in the payoff phase, or the seventh step of glycolysis, is the transfer of a phosphate group from 1,3-bisphosphoglycerate (Figure 3) to ADP to form ATP and 3-phosphoglycerate. This method of ATP formation is known as substrate-level phosphorylation, and should not be confused with oxidative phosphorylation, which occurs through the electron transport chain and chemiosmotic coupling. Moreover, since this reaction involves the transfer of a phosphate group, the catalytic enzyme is a kinase. In this case, the kinase is phosphoglycerate kinase.

Figure 3. Glycolysis Step 7: Transfer of Phosphate Group from 1,3-Bisphosphoglycerate
Step 8: Conversion of 3-Phosphoglycerate to 2-Phosphoglycerate
Step eight of glycolysis is the conversion of 3-phosphoglycerate to 2-phosphoglycerate (Figure 4). In this step, the phosphate group attached to carbon-3 of 3-phosphoglycerate is moved to carbon-2, resulting in the formation of 2-phosphoglycerate. This reaction is catalyzed by phosphoglycerate mutase.

Figure 4. Glycolysis Step 8: Conversion of 3-Phosphoglycerate to 2-Phosphoglycerate
Step 9: Dehydration of 2-Phosphoglycerate
The ninth step of glycolysis is the dehydration of 2-phosphoglycerate (Figure 5). Dehydration indicates the removal of water. In this step, water is removed from 2-phosphoglycerate to form phosphoenolpyruvate. This reaction is catalyzed by the enzyme enolase.

Figure 5. Glycolysis Step 9: Dehydration of 2-Phosphoglycerate
Step 10: Dehydration of 2-Phosphoglycerate
The last step of the payoff phase, and in turn, the last step of glycolysis, involves the transfer of a phosphate group from phosphoenolpyruvate to ADP, forming pyruvate and ATP (Figure 6). This step is another example of substrate-level phosphorylation and is catalyzed by pyruvate kinase. Also note that this step is another irreversible step, meaning that it is an exergonic reaction that releases energy. The importance of irreversible steps in glycolysis will become more clear when we discuss gluconeogenesis, the reverse process of glycolysis, in later lessons. For now, note that the three irreversible steps of glycolysis serve to make sure that glycolytic break down of glucose is not easily undone by gluconeogenic enzymes.

FIgure 6. Glycolysis Step 10: Phosphate Group Transfer from Phosphoenolpyruvate
Payoff Phase of Glycolysis Summary
In summary, two molecules of glyceraldehyde-3-phosphate are transformed into two molecules of pyruvate in the payoff phase of glycolysis. For each of these molecules, two ATP and one NADH molecule are produced. However, since there are two molecules of glyceraldehyde-3-phosphate to begin with, the overall energy yield of the payoff phase is four ATP molecules and two NADH molecules.
Depending on physiological conditions, the resulting pyruvate molecules can either be oxidized further by pyruvate dehydrogenase complex and the Krebs cycle or else can be converted back into glucose via gluconeoegenesis.
Explore More
MCAT Masterclass Chapters
Take a closer look at our entire MCAT Masterclass or explore our Biochemistry lessons below.
- MCAT Biochemistry Electron Transport Chain View Subject
- MCAT Biochemistry Chemiosmotic Coupling & Proton Motive Force View Subject
- MCAT Biochemistry Glycolysis Part 1 View Subject
- MCAT Biochemistry Glycolysis Net Reaction View Subject
- MCAT Biochemistry Gluconeogenesis View Subject
- MCAT Biochemistry Pentose Phosphate Pathway View Subject
